麻豆tv

科研动态

当前位置: 主页 > 科学研究 > 科研动态 > 正文

Nat. Commun.| 吕健教授等人计算提出单质锂的高压相晶体结构

时间:2023-05-23 14:56:16 点击:

日前,麻豆tv 物质模拟方法与软件教育部重点实验室的吕健、马琰铭教授与北京应用物理与计算数学研究所的王涵研究员等人在“单质锂的高压相晶体结构”研究中取得新进展,相关研究成果以“Data-driven prediction of complex crystal structures of dense lithium”为题,于2023年05月22日在线发表于Nature Communications 14, 2924 (2023)。

锂是自然界中最轻的金属。它在常温常压下具有体心立方结构和近自由电子行为,通常被看成是简单金属。然而,这种“简单”金属在高压下并不简单。它会随着外界压强的增加发生一系列复杂的结构相变,并伴随有超导温度升高、反Wilson转变和熔点显著降低等现象,一直是高压研究的模型体系。前期研究发现单质锂的熔点随压强的增加而显著降低,导致在40-60 GPa压强区间出现了熔化曲线极小值。然而,人们对其最低熔化温度(~190 -300 K)一直存在争议。2019年,高压X射线衍射实验在锂的熔化极小值附近观测到了新的衍射峰,并据此推测极有可能存在新的高压相。澄清熔化极小值附近是否存在高压新相及其晶体结构对确定其最低熔化温度和理解核量子效应对相图的影响至关重要。

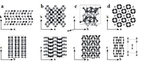
本工作中,研究人员将基于群智理论的CALYPSO结构预测方法与基于深度学习技术Deep Potential机器学习势相结合,系统探索了锂在熔化极小值附近的势能面,发现了Pearson符号为aP160、oP192、oP48和tI20的四个复杂的高压相晶体结构(如图1),晶胞内最大原子数高达192。系统的自由计算表明,单质锂在熔化极小值附近的能量面及其复杂,呈现出多谷而平坦的特征,所预测高压相的热力稳定性介于实验cI16和oC88相之间,有望通过在实验上通过调控温度-压力路径来获得。该研究工作不仅给出了锂在熔化极小值附近未知高压相的有力候选,同时证明基于学习加速的结构预测技术可以显著提高人们对晶体势能面的探索能力和效率,是复杂体系晶体结构研究的有力工具。

 

图一,预测的锂的高压相晶体结构,(a)aP160,(b)oP192,(c)oP48,(d)tI20

该研究工作的第一作者为北京应用物理与计算数学研究所的王啸洋博士和麻豆tv 的王振雨博士生,通讯作者为麻豆tv 吕健、马琰铭教授和北京应用物理与计算数学研究所的王涵研究员。该工作得到了国家自然科学基金委项目的大力支持。

论文全文链接: